Nonclinical Study Repository with Study and Cross-Study Search, Analytics, & Visualization using IGO
Xbiom Nonclinical Insights includes:
Longitudinal integration of disparate components of nonclinical studies into a repository for search and discovery of signals or cohorts based on specified criteria.
- Safety, toxicology analysis and visualization of study and cross-study analytics.
- Maintain data in a Universal Data Model with harmonized terminology and normalized units for easy repurposing, including generation of SEND datasets.
- Monitoring of interim data from ongoing studies.
- Data loading and adaptors for disparate sources as well as SEND datasets.
- Xbiom™ Insights allow researchers to capture insights by generating TFL objects that include figures, tables, and listings with annotations for any selected cohorts; and save these TFLs for future access and publishing.

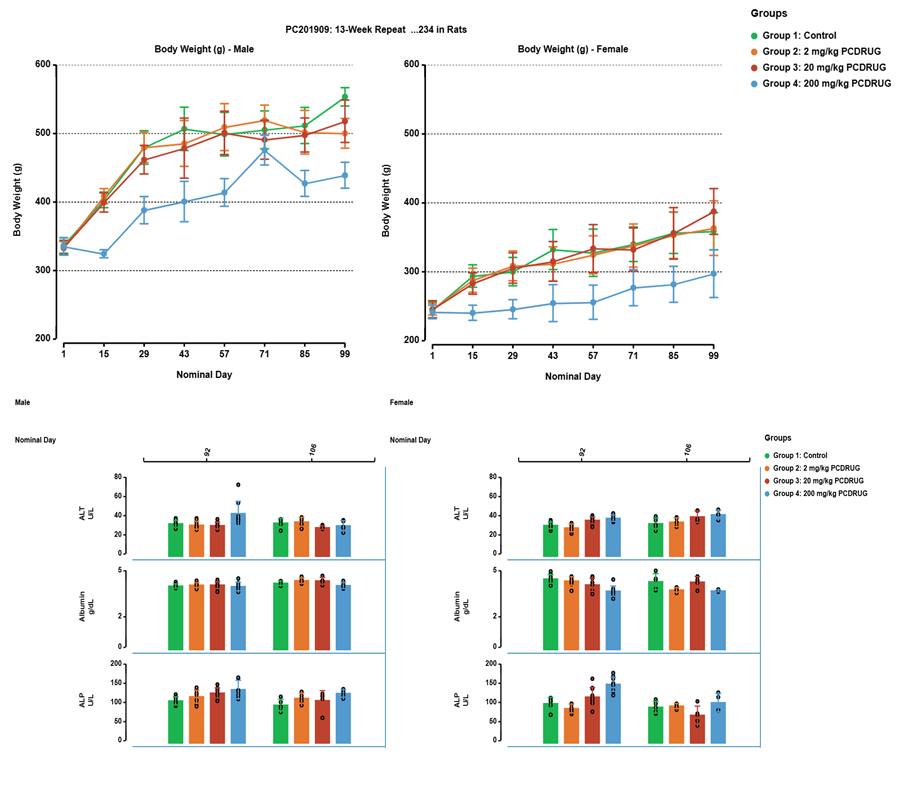
- Line Graph with SD (Body Weight): Shows how values change over time, with lines for the average and error bars to show variation (standard deviation).
- Bar Graph with SD and Individual Data Points (Lab Findings): Compares group averages using bars, with error bars showing variation (SD). Individual values are ‘exploded’ as dots for each subject to show data spread.

- Z-Transformation (Liver Parameters): Shows changes in Liver parameter values over time and comparison with control group

- Correlation Charts with Regression Lines: Displays relationships between selected parameters with linear regression lines

- Correlation Chart (Liver Parameters): Calculates and presents the correlation strength between parameters using both Pearson and Spearman methods for comprehensive statistical insight

- Histopathology Consolidated View: Shows remarkable findings incidence organized by group, sex and organs in heatmap view type

- Histopathology Treemap View: Displays data as nested rectangles sized by the number of subjects affected per organ and finding

- Histopathology Sunburst and Magnifier View: To explore histopathology data in an interactive circular format, with zoom-in features to see deeper levels of information

- Histopathology Navigator View: To view and understand the data interactively using the navigator Charts where any dimension and all dimensions adjust the data for it in real time

- Histopathology & Necropsy vs Clinical Pathology: Analyzes Histopathology and necropsy data compared to longitudinal or end-point clinical pathology results
